Home Browse Text SearchFunctional Group SearchStructure SearchPreferences Administration

selected data collection: 1

IRIS SDF: browse content


1
  <<    <    >    >>  

1:447963 C27H36N6O7
hit structure
1:447964 C10H10N2O3
hit structure
1:447965 C19H23N9O2
hit structure
1:447966 C24H33N9O6
hit structure
1:447967 C12H21N5O4
hit structure
1:447968 C20H19N7O4
hit structure
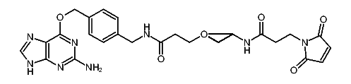
1:447969 C31H40N8O9
hit structure
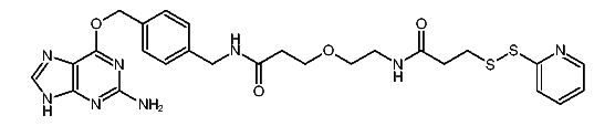
1:447970 C21H21N7O2S2
hit structure
1:447971 C26H30N8O4S2
hit structure
1:447972 C34H31N7O3
hit structure
1:447973 C24H22N2O2
hit structure
1:447974 C23H21F9N4O4S
hit structure
1:447975 C21H16F9NO5S
hit structure
1:447976 C35H41F9N4O6S2
hit structure
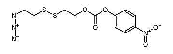
1:447977 C16H30N4O4S
hit structure
1:447978 C7H7N3O
hit structure
1:447979 C8H4N2O4S
hit structure
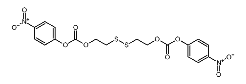
1:447980 C12H16N2O5S2
hit structure
1:447981 C5H9N3O2S2
hit structure
1:447982 C24H24N2O4S2
hit structure
1:447983 C14H24N6O2S3
hit structure
1:447984 C20H22BNO7
hit structure
1:447985 C36H35BN2O13
hit structure
1:447986 C11H12N4O5S2
hit structure
1:447987 C18H16N2O10S2
hit structure

1
  <<    <    >    >>  

entries in data collection: 448618