Home Browse Text SearchFunctional Group SearchStructure SearchPreferences Administration

selected data collection: 1

IRIS SDF: browse content


1
  <<    <    >    >>  

1:447913 C15H21NO4
hit structure
1:447914 C28H31N3O8
hit structure
1:447915 C12H18N4O4
hit structure
1:447916 C13H19N3O2S
hit structure
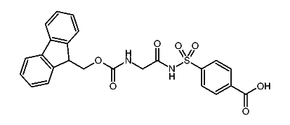
1:447917 C14H12N2O5S2
hit structure
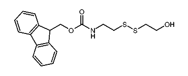
1:447918 C9H19NO3S2
hit structure
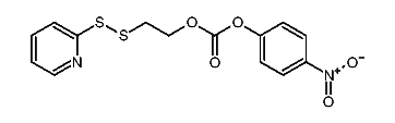
1:447919 C16H22N2O7S2
hit structure
1:447920 C19H21NO3S2
hit structure
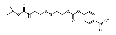
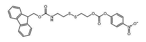
1:447921 C26H24N2O7S2
hit structure
1:447922 C19H14N2O5S2
hit structure
1:447923 C14H21NO3S2
hit structure
1:447924 C21H24N2O7S2
hit structure
1:447925 C24H23NO3S2
hit structure
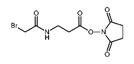
1:447926 C9H11BrN2O5
hit structure
1:447927 C8H14N2O2S
hit structure
1:447928 C24H20N2O7S
hit structure
1:447929 C16H32ClN3O5
hit structure
1:447930 C9H9N3O2
hit structure
1:447931 C10H19NO5
hit structure
1:447932 C29H35ClN2O4
hit structure
1:447933 C10H22ClNO2
hit structure
1:447934 C14H30ClNO4
hit structure
1:447935 C10H20ClN3O2
hit structure
1:447936 C14H28ClN3O4
hit structure
1:447937 C16H26N2O2
hit structure

1
  <<    <    >    >>  

entries in data collection: 448618