Home Browse Text SearchFunctional Group SearchStructure SearchPreferences Administration

selected data collection: 1

IRIS SDF: browse content


1
  <<    <    >    >>  

1:447738 C14H21NO5
hit structure
1:447739 C12H24BrF6N3P2
hit structure
1:447740 C14H22N4O4
hit structure
1:447741 C9H8N2O7
hit structure
1:447742 C11H16BF4N5O
hit structure
1:447743 C14H20BF4N3O3
hit structure
1:447744 C10H16BF4N3O2
hit structure
1:447745 C9H16BF4N3O3
hit structure
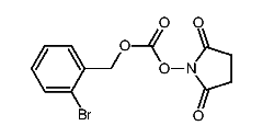
1:447746 C12H10BrNO5
hit structure
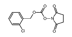
1:447747 C12H10ClNO5
hit structure
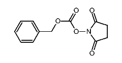
1:447748 C12H11NO5
hit structure
1:447749 C5H12ClF6N2P
hit structure
1:447750 C15H13NO2
hit structure
1:447751 C5H12F7N2P
hit structure
1:447752 C8H8O3
hit structure
1:447753 C5H7N3O3
hit structure
1:447754 C10H16F6N3O2P
hit structure
1:447755 C2H6S2
hit structure
1:447756 C2H6S
hit structure
1:447757 C7H8O
hit structure
1:447758 C7H8S
hit structure
1:447759 C9H22Si
hit structure
1:447760 C10H17BF4N4O3
hit structure
1:447761 C20H17ClO
hit structure
1:447762 C15H12O2
hit structure

1
  <<    <    >    >>  

entries in data collection: 448618