Home Browse Text SearchFunctional Group SearchStructure SearchPreferences Administration

selected data collection: 1

IRIS SDF: browse content


1
  <<    <    >    >>  

1:442887 C16H22N2O7S2
hit structure
1:442888 C19H21NO3S2
hit structure
1:442889 C26H24N2O7S2
hit structure
1:442890 C19H14N2O5S2
hit structure
1:442891 C14H21NO3S2
hit structure
1:442892 C21H24N2O7S2
hit structure
1:442893 C24H23NO3S2
hit structure
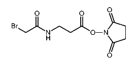
1:442894 C9H11BrN2O5
hit structure
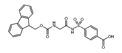
1:442895 C8H14N2O2S
hit structure
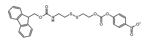
1:442896 C24H20N2O7S
hit structure
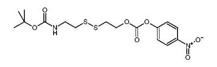
1:442897 C16H32ClN3O5
hit structure
1:442898 C9H9N3O2
hit structure
1:442899 C10H19NO5
hit structure
1:442900 C29H35ClN2O4
hit structure
1:442901 C10H22ClNO2
hit structure
1:442902 C14H30ClNO4
hit structure
1:442903 C10H20ClN3O2
hit structure
1:442904 C14H28ClN3O4
hit structure
1:442905 C16H26N2O2
hit structure
1:442906 C16H30N2O2
hit structure
1:442907 C18H34N2O2
hit structure
1:442908 C18H30N2O2
hit structure
1:442909 C29H31NO6
hit structure
1:442910 C30H29NO6
hit structure
1:442911 C28H29NO6
hit structure

1
  <<    <    >    >>  

entries in data collection: 453650