Home Browse Text SearchFunctional Group SearchStructure SearchPreferences Administration

selected data collection: 1

IRIS SDF: browse content


1
  <<    <    >    >>  

1:18551 C19H22N2O3
hit structure
1:18552 C20H20N2O5
hit structure
1:18553 C23H24N2O5
hit structure
1:18554 C40H35N3O6
hit structure
1:18555 C19H18N2O5
hit structure
1:18556 C22H22N2O5
hit structure
1:18557 C23H26N2O5
hit structure
1:18558 C26H30N2O5
hit structure
1:18559 C23H26N2O5
hit structure
1:18560 C26H30N2O5
hit structure
1:18561 C31H39N3O7
hit structure
1:18562 C26H24N2O5
hit structure
1:18563 C29H28N2O5
hit structure
1:18564 C22H22N2O5
hit structure
1:18565 C25H26N2O5
hit structure
1:18566 C24H28N2O6
hit structure
1:18567 C27H32N2O6
hit structure
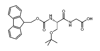
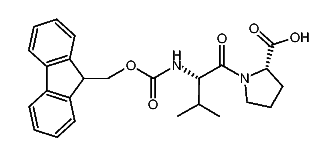
1:18568 C25H30N2O6
hit structure
1:18569 C31H29N3O5
hit structure
1:18570 C22H24N2O5
hit structure
1:18571 C25H28N2O5
hit structure
1:18572 C35H40N2O9
hit structure
1:18573 C35H28N2O7
hit structure
1:18574 C36H43N5O8S
hit structure
1:18575 C28H35N3O7
hit structure

1
  <<    <    >    >>  

entries in data collection: 1179630