MolDB6 demo: details for selected entry
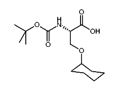
C14H25NO5
(
594840
)
Formula
C
14
H
25
NO
5
MW
287.36
name
Boc-L-Ser(cHx)-OH
synonym
0
formula_
C14H25NO5
mw
287,36
cas_nr_
221057-18-7
particle_size
0
loading
0
company
Iris Biotech GmbH
direct_weblink
www.iris-biotech.de/BAA4330